切换至 "中华医学电子期刊资源库"

中华妇幼临床医学杂志(电子版) ›› 2025, Vol. 21 ›› Issue (05) : 580 -589. doi: 10.3877/cma.j.issn.1673-5250.2025.05.011

论著

血清25-羟维生素D水平对体外受精-胚胎移植助孕患者妊娠结局的影响及其与外周血和卵泡液淋巴细胞亚群相关性研究
范舒舒(), 李玉凤, 林莉, 龙梅, 汪成, 何金娜   
  1. 粤北人民医院生殖医学中心,韶关 512026
  • 收稿日期:2025-03-10 修回日期:2025-09-13 出版日期:2025-10-01
  • 通信作者: 范舒舒

Effects of serum 25-hydroxyvitamin D level on pregnancy outcomes of patients with in vitro fertilization-embryo transfer and its correlation with peripheral blood and follicular fluid lymphocyte subsets

Shushu Fan(), Yufeng Li, Li Lin, Mei Long, Cheng Wang, Jinna He   

  1. Reproductive Medicine Center, Yuebei People′s Hospital, Shaoguan 512026, Guangdong Province, China
  • Received:2025-03-10 Revised:2025-09-13 Published:2025-10-01
  • Corresponding author: Shushu Fan
  • Supported by:
    Shaoguan Municipal Health Commission Scientific Research Project(Y22001); Shaoguan Municipal Science and Technology Plan Project(220602084530242)
引用本文:

范舒舒, 李玉凤, 林莉, 龙梅, 汪成, 何金娜. 血清25-羟维生素D水平对体外受精-胚胎移植助孕患者妊娠结局的影响及其与外周血和卵泡液淋巴细胞亚群相关性研究[J/OL]. 中华妇幼临床医学杂志(电子版), 2025, 21(05): 580-589.

Shushu Fan, Yufeng Li, Li Lin, Mei Long, Cheng Wang, Jinna He. Effects of serum 25-hydroxyvitamin D level on pregnancy outcomes of patients with in vitro fertilization-embryo transfer and its correlation with peripheral blood and follicular fluid lymphocyte subsets[J/OL]. Chinese Journal of Obstetrics & Gynecology and Pediatrics(Electronic Edition), 2025, 21(05): 580-589.

目的

探讨血清25-羟维生素D[25(OH)D]水平,对体外受精-胚胎移植(IVF-ET)助孕患者妊娠结局的影响及其与外周血、卵泡液淋巴细胞亚群的相关性。

方法

选取2023年1月至2024年6月在粤北人民医院生殖医学中心进行IVF-ET助孕的19例患者为研究对象。根据血清25(OH)D水平是否正常,将其分为异常组[n=10,血清25(OH)D水平<30 ng/mL(偏低)]与正常组[n=9,血清25(OH)D水平≥30 ng/mL(正常)]。对2组患者均采用黄体期长方案促排卵。对2组患者人绒毛膜促性腺激素(hCG)扳机次日血清及取卵日卵泡液25(OH)D水平均采用化学发光法测定,而患者hCG扳机次日外周血及取卵日卵泡液淋巴细胞亚群水平,则均采用流式细胞仪测定。采用成组t检验、Mann-Whitney U检验或χ2检验,对2组患者的IVF-ET妊娠结局指标、血清与卵泡液25(OH)D水平、外周血与卵泡液淋巴细胞各亚群水平等进行比较。采用Pearson相关性分析或Spearman秩相关性分析方法,分析患者血清与卵泡液25(OH)D水平、外周血与卵泡液淋巴细胞亚群4者之间的相关性。本研究遵循的程序符合粤北人民医院医学伦理委员会规定,并通过该伦理委员会审批(审批文号:KY-2021-146)。2组患者年龄、人体质量指数(BMI)、促性腺激素(Gn)总量等临床资料分别比较,差异均无统计学意义(P>0.05)。

结果

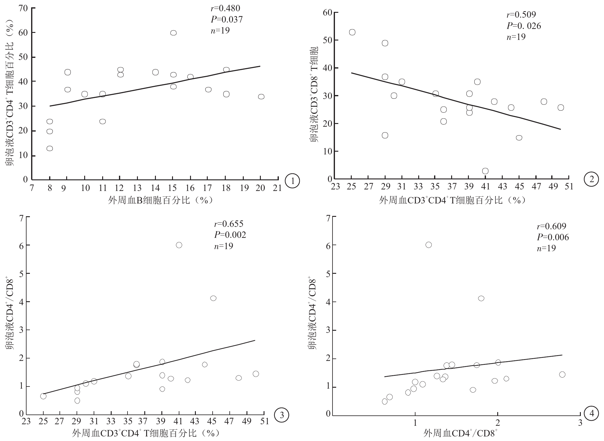
①2组患者hCG日雌二醇及孕酮水平、获卵数、正常受精率、受精后第3天(D3)优质胚胎率、临床妊娠率、活产率分别比较,差异均无统计学意义(P>0.05)。正常组患者hCG日子宫内膜厚度较异常组显著增厚,并且差异有统计学意义(t=2.47,P=0.025)。②2组患者卵泡液25(OH)D水平、外周血及卵泡液淋巴细胞各亚群水平分别比较,差异均无统计学意义(P>0.05)。异常组血清25(OH)D水平显著低于正常组,并且差异有统计学意义(t=-6.50,P<0.001)。③血清25(OH)D水平与卵泡液25(OH)D、外周血淋巴细胞亚群、卵泡液淋巴细胞亚群水平,以及卵泡液25(OH)D与卵泡液淋巴细胞亚群水平的相关性,差异均无统计学意义(P>0.05)。外周血B细胞百分比与卵泡液CD3CD4 T细胞百分比呈正相关(r=0.480,P=0.037),外周血CD3CD4 T细胞百分比与卵泡液CD3CD8T细胞百分比、CD3CD4 T细胞与CD3CD8 T细胞比值(CD4/CD8),则分别呈负相关关系(r=-0.509,P=0.026)与正相关关系(rs=0.655,P=0.002),外周血与卵泡液CD4/CD8呈正相关关系(rs=0.609,P=0.006),外周血CD3CD4 T细胞百分比与外周血CD3CD8 T细胞百分比呈负相关关系(r=-0.658,P=0.002)。

结论

本研究初步发现血清25(OH)D水平,对IVF-ET助孕患者超排卵过程中子宫内膜可能产生有利影响,而有助于改善妊娠结局;未发现患者25(OH)D水平与淋巴细胞亚群之间存在相关性。IVF-ET助孕患者外周血淋巴细胞亚群与卵泡液淋巴细胞亚群有一定相关性,检测其外周血淋巴细胞亚群,可为预测卵泡液中淋巴细胞亚群提供一定参考。

Objective

To investigate the effect of serum 25-hydroxyvitamin D [25(OH)D] levels on pregnancy outcomes of patients with in vitro fertilization-embryo transfer (IVF-ET) and its correlation with peripheral blood and follicular fluid lymphocyte subsets.

Methods

A total of 19 infertile patients who underwent IVF-ET at Reproductive Medicine Center of Yuebei People′s Hospital from January 2023 to June 2024 were selected as the research subjects. Based on the serum 25(OH)D level of infertile patients, 19 infertile patients were divided into abnormal group [n=10, serum 25(OH)D level <30 ng/mL] and normal group [n=9, serum 25(OH)D level ≥30 ng/mL]. The patients in two groups underwent ovulation induction using the long luteal phase protocol. Serum 25(OH)D levels on the day after trigger shot of human chorionic gonadotropin (hCG) and follicular fluid 25(OH)D levels on the day of oocyte retrieval were detected using chemiluminescence immunoassay. Flow cytometry was used to detect peripheral blood lymphocyte subsets on the day after trigger shot and follicular fluid lymphocyte subsets on the day of oocyte retrieval. Independent samples t-test, Mann-Whitney U test, or chi-square test were used to compare IVF-ET pregnant outcomes, serum and follicular fluid 25(OH)D levels, and peripheral blood and follicular fluid lymphocyte subset levels between two groups. Pearson correlation analysis or Spearman rank correlation analysis was used to analyze the correlations among serum and follicular fluid 25(OH)D levels, and peripheral blood and follicular fluid lymphocyte subsets. The procedures followed in this study complied with the regulations of the Medicine Ethics Committee of Yuebei People′s Hospital and were approved by the committee (Approval No. KY-2021-146). There were no statistically significant differences in clinical data such as age, body mass index (BMI), and total gonadotropin (Gn) levels between the two groups (P>0.05).

Results

①There were no statistically significant differences between the two groups in estradiol and progesterone levels on hCG day, number of oocytes retrieved, normal fertilization rate, high-quality embryo rate on day 3 post-fertilization (D3), clinical pregnancy rate, and live birth rate (P>0.05). The endometrial thickness on hCG day was significantly higher in the normal group than those in the abnormal group (t=2.47, P=0.025). ②There were no statistically significant differences in follicular fluid 25(OH)D level, peripheral blood and follicular fluid lymphocyte subset levels between two groups (P>0.05). The serum 25(OH)D level in abnormal group was significantly lower than that in normal group, and the difference was statistically significant (t=-6.50, P<0.001). ③There was no significant correlation between serum 25(OH)D and follicular fluid 25(OH)D, peripheral blood lymphocyte subsets, follicular fluid lymphocyte subsets, and follicular fluid 25(OH)D and follicular fluid lymphocyte subsets (P>0.05). There was a positive correlation between percentage of peripheral blood B cells and percentage of follicular fluid CD3+ CD4+ T cells (r=0.480, P=0.037), and a negative correlation between percentage of peripheral blood CD3+ CD4+ T cells and percentage of follicular fluid CD3+ CD8+ T cells (r=-0.509, P=0.026), and a positive correlation between percentage of peripheral blood CD3+ CD4+ T cells and ratio of CD3+ CD4+ T cells to CD3+ CD8+ T cells (CD4+ /CD8+ ) in follicular fluid (rs=0.655, P=0.002). Peripheral blood CD4+ /CD8+ was positively correlated with follicular fluid CD4+ /CD8+ (rs=0.609, P=0.006). And percentage of peripheral blood CD3+ CD4+ T cells was negatively correlated with percentage of peripheral blood CD3+ CD8+ T cells (r=-0.658, P=0.002).

Conclusions

This study preliminarily found that serum 25(OH)D level may have a beneficial effect on the endometrium during the superovulation process in IVF-ET patients. No significant correlation was found between 25(OH)D and lymphocyte subsets in IVF-ET patients. There is a certain correlation between peripheral blood lymphocyte subsets and follicular fluid lymphocyte subsets in IVF-ET patients, detection of lymphocyte subsets in peripheral blood can provide certain reference for predicting lymphocyte subsets in follicular fluid.

表1 2组IVF-ET助孕患者一般临床资料比较(±s)
表2 2组IVF-ET助孕患者妊娠结局指标比较
表3 2组IVF-ET助孕患者外周血与卵泡液25(OH)D及淋巴细胞各亚群水平比较
表4 本研究IVF-ET助孕患者血清25(OH)D水平与卵泡液25(OH)D水平、外周血和卵泡液淋巴细胞亚群的相关性分析
表5 本研究IVF-ET助孕患者卵泡液25(OH)D与淋巴细胞亚群水平的相关性分析
图4 本研究19例IVF-ET助孕患者外周血与卵泡液CD4/CD8的相关性分析散点图
表6 本研究IVF-ET助孕患者外周血与卵泡液淋巴细胞亚群水平的相关性分析
图5 本研究19例IVF-ET助孕患者外周血CD3CD4T细胞百分比与外周血CD3CD8T细胞百分比的相关性分析散点图注:IVF-ET为体外受精-胚胎移植
[1]
郝昌隆,张曼丽,腊晓琳. 维生素D缺乏在生殖系统疾病中的研究进展[J]. 新疆医学2025, 55(6): 746-750. DOI: 10.3760/cma.j.issn.1001-5183.2025.06.120.
[2]
陈子江,刘嘉茵,黄荷凤,等. 不孕症诊断指南[J]. 中华妇产科杂志2019, 54(8): 505-511.DOI: 10.3760/cma.j.issn.0529-567x.2019.08.001.
[3]
Holick MF, Binkley NC, Bischoff-Ferrari HA, et al. Evaluation, treatment, and prevention of vitamin D deficiency: an Endocrine Society clinical practice guideline[J]. J ClinEndocrinol Metab, 2011, 96(7): 1911-1930. DOI: 10.1210/jc.2011-0385.
[4]
中国医师协会生殖医学专业委员会. 人类卵裂期胚胎及囊胚形态学评价中国专家共识[J]. 中华生殖与避孕杂志2022, 42(12): 1218-1225. DOI: 10.3760/cma.j.cn101441-20220619-00266.
[5]
Qiao J, Wang Y, Li X, et al. A Lancet Commission on 70 years of women′s reproductive, maternal, newborn, child, and adolescent health in China[J]. Lancet, 2021, 397(10293): 2497-2536. DOI: 10.1016/S0140-6736(20)32708-2.
[6]
夏秋平,李艳萍,张叶青,等. 体外受精-胚胎移植中受精失败的相关因素[J]. 中南大学学报(医学版), 2020, 45(8): 960-965. DOI: 10.11817/j.issn.1672-7347.2020.200076.
[7]
Pagliardini L, Vigano′ P, Molgora M, et al. High prevalence of vitamin D deficiency in infertile women referring for assisted reproduction[J]. Nutrients, 2015, 7(12): 9972-9984. DOI: 10.3390/nu7125516.
[8]
刘雅龙,迟洪滨. 维生素D与女性生殖及辅助生育研究进展[J]. 中华医学杂志2020, 100(43): 3465-3467. DOI: 10.3760/cma.j.cn112137-20200614-01849.
[9]
衷雪梅,金萱. 维生素D在人类生殖中的研究现状[J]. 中国计划生育学杂志2019, 27(5): 676-679. DOI: 10.3969/j.issn.1004-8189.2019.05.034.
[10]
刘蕾. 25(OH)D调节Th1/Th2平衡对IVF/ICSI-ET患者妊娠结局的影响[D]. 衡阳:南华大学,2021.
[11]
Abadia L, Gaskins AJ, Chiu YH, et al. Serum 25-hydroxyvitamin D concentrations and treatment outcomes of women undergoing assisted reproduction [J]. Am J Clin Nutr, 2016, 104(3): 729-735. DOI: 10.3945/ajcn.115.126359.
[12]
Abedi S, Taebi M, Nasr Esfahani MH. Effect of vitamin D supplementation on intracytoplasmic sperm injection outcomes: a randomized double-blind placebo-controlled trial[J]. Int J Fertil Steril, 2019, 13(1): 18-23. DOI: 10.22074/ijfs.2019.5470.
[13]
Parikh G, Varadinova M, Suwandhi P, et al. Vitamin D regulates steroidogenesis and insulin-like growth factor binding protein-1 (IGFBP-1) production in human ovarian cells[J]. Horm Metab Res, 2010, 42(10): 754-757. DOI: 10.1055/s-0030-1262837.
[14]
阳艳,章汉旺. EMX2、HOXA10与子宫内膜容受性[J]. 生殖与避孕2006, 26(2): 95-98. DOI: 10.3969/j.issn.0253-357X.2006.02.007.
[15]
贾新转,郭丽娜,李玉琢,等. 复发性流产患者血清维生素D水平与自身免疫抗体、淋巴细胞亚群的关系研究[J]. 中国现代医学杂志2017, 27(24): 66-69. DOI: 10.3969/j.issn.1005-8982.2017.24.014.
[16]
Chen X, Diao L, Lian R, et al. Potential impact of maternal vitamin D status on peripheral blood and endometrium cellular immunity in women with recurrent implantation failure[J].AmJ Reprod lmmunol, 2020, 84(1): e13243. DOI: 10.1111/aji.13243.
[17]
Liu X, Zhang W, Xu Y, et al. Effect of vitamin D status on normal fertilization rate following in vitro fertilization [J]. Reprod Biol Endocrinol, 2019, 17(1): 59-69. DOI: 10.1186/s12958-019-0500-0.
[1] 汪浪, 何怡华, 李征毅, 刘翠云, 颉剑锋, 陈健. 母胎超声参数对复发性流产孕妇不良妊娠结局的预测价值[J/OL]. 中华医学超声杂志(电子版), 2025, 22(06): 556-563.
[2] 魏艺, 李欣, 凌秀凤, 赵纯. 改良自然周期和来曲唑诱导排卵周期中不同黄体支持方案对高龄及非高龄女性妊娠结局的影响[J/OL]. 中华妇幼临床医学杂志(电子版), 2025, 21(05): 568-579.
[3] 程碧辉, 勾竹, 周茜, 杨晓敏, 李容. 抗精神疾病药物孕期治疗对严重精神障碍孕妇妊娠结局的临床分析[J/OL]. 中华妇幼临床医学杂志(电子版), 2025, 21(03): 304-312.
[4] 江敏, 陈爱华. 促性腺激素启动日多囊卵巢综合征不孕患者的促甲状腺激素水平与人体质量指数对其促排卵优质胚胎形成的交互作用[J/OL]. 中华妇幼临床医学杂志(电子版), 2025, 21(02): 171-179.
[5] 张心, 杜勇, 王珍惜, 滕雪宝, 金宝. 血清25羟基维生素D3、膜联蛋白以及急性生理学和慢性健康状况评价Ⅱ与支气管肺炎患儿病情和预后的关系[J/OL]. 中华实验和临床感染病杂志(电子版), 2025, 19(04): 242-248.
[6] 石宛鑫, 商子梦, 吴桐, 卢帅, 邱倩, 徐艳利, 张强, 江宇泳, 刘秀颖, 蒋协远, 杨志云. 新型冠状病毒感染后中老年人维生素D缺乏对骨质疏松患病风险的影响[J/OL]. 中华实验和临床感染病杂志(电子版), 2025, 19(03): 136-145.
[7] 刘小丽, 罗倩, 种玉婷, 向贇, 马群宝, 莫亚斯尔·热合木拉, 黄玉蓉. 抗血管生成药物联合PD-1单抗治疗NSCLC的疗效及对T淋巴细胞亚群的影响[J/OL]. 中华肺部疾病杂志(电子版), 2025, 18(04): 510-515.
[8] 赵雪, 马里媛, 魏丽敏, 杨镕煊, 蒋红利, 陈蕾. 维持性血液透析患者25-羟维生素D与甲状旁腺激素水平之间的关系研究[J/OL]. 中华肾病研究电子杂志, 2025, 14(06): 317-324.
[9] 王敬博, 宋伟福, 杨阳, 张云鸽, 李欣. 维生素D受体基因与老年骨质疏松关系[J/OL]. 中华老年骨科与康复电子杂志, 2025, 11(03): 186-192.
[10] 李艳, 呼霞, 赵娟. 超声引导下腰方肌阻滞与竖脊肌平面阻滞对腹腔镜结直肠癌根治术后应激指标、炎症因子、T淋巴细胞亚群的影响[J/OL]. 中华消化病与影像杂志(电子版), 2025, 15(04): 393-397.
[11] 高星星, 雷东红, 田小飞, 郝持强. 轮状病毒肠炎患儿血清I-FABP、HMGB1、T 淋巴细胞亚群变化与病情严重程度的相关性研究[J/OL]. 中华消化病与影像杂志(电子版), 2025, 15(03): 272-276.
[12] 秦楠, 汪川, 穆尼热·穆合塔尔, 蒋升. 2 型糖尿病患者维生素D 与胰岛功能的相关性[J/OL]. 中华临床医师杂志(电子版), 2025, 19(03): 199-205.
[13] 代晨阳, 卢文琼, 石磊, 黄启涛. 孕中期罕见羊膜下血肿一例并文献复习[J/OL]. 中华产科急救电子杂志, 2025, 14(03): 179-183.
[14] 李兆蕾, 詹敏金, 陈海天. 妊娠合并高甘油三酯血症性急性胰腺炎的临床研究[J/OL]. 中华产科急救电子杂志, 2025, 14(02): 86-94.
[15] 张国荣, 王梦卉, 董秀芳, 杨梅, 郭柄轩, 吴婷, 李南方. 新疆塔城地区妊娠期高血压疾病对母婴围生期不良妊娠结局的影响[J/OL]. 中华诊断学电子杂志, 2025, 13(03): 177-182.
阅读次数
全文


摘要


AI


AI小编
你好!我是《中华医学电子期刊资源库》AI小编,有什么可以帮您的吗?