切换至 "中华医学电子期刊资源库"

中华妇幼临床医学杂志(电子版) ›› 2025, Vol. 21 ›› Issue (05) : 598 -604. doi: 10.3877/cma.j.issn.1673-5250.2025.05.013

论著

免疫骨骼发育不良伴神经发育异常2例并文献复习
宋葳1, 周文智1,(), 唐立2, 姜舟3, 杨柳2   
  1. 1电子科技大学医学院附属妇女儿童医院· 成都市妇女儿童中心医院康复科,成都 611731
    2电子科技大学医学院附属妇女儿童医院· 成都市妇女儿童中心医院保健部,成都 611731
    3电子科技大学医学院附属妇女儿童医院· 成都市妇女儿童中心医院新生儿疾病筛查科,成都 611731
  • 收稿日期:2025-02-10 修回日期:2025-09-18 出版日期:2025-10-01
  • 通信作者: 周文智

Immune skeletal dysplasia with neurodevelopmental abnormalities: two cases report and literature review

Wei Song1, Wenzhi Zhou1,(), Li Tang2, Zhou Jiang3, Liu Yang2   

  1. 1Department of Children Rehabilitation, Chengdu Women′s and Children′s Central Hospital, School of Medicine, University of Electronic Science and Technology of China, Chengdu 611731, Sichuan Province, China
    2Department of Healthcare, Chengdu Women′s and Children′s Central Hospital, School of Medicine, University of Electronic Science and Technology of China, Chengdu 611731, Sichuan Province, China
    3Department of Neonatal Screening, Chengdu Women′s and Children′s Central Hospital, School of Medicine, University of Electronic Science and Technology of China, Chengdu 611731, Sichuan Province, China
  • Received:2025-02-10 Revised:2025-09-18 Published:2025-10-01
  • Corresponding author: Wenzhi Zhou
引用本文:

宋葳, 周文智, 唐立, 姜舟, 杨柳. 免疫骨骼发育不良伴神经发育异常2例并文献复习[J/OL]. 中华妇幼临床医学杂志(电子版), 2025, 21(05): 598-604.

Wei Song, Wenzhi Zhou, Li Tang, Zhou Jiang, Liu Yang. Immune skeletal dysplasia with neurodevelopmental abnormalities: two cases report and literature review[J/OL]. Chinese Journal of Obstetrics & Gynecology and Pediatrics(Electronic Edition), 2025, 21(05): 598-604.

目的

探讨免疫骨骼发育不良伴神经发育异常(ISDNA)患儿的临床特征及遗传学特点。

方法

选择2017年5月3日于成都市妇女儿童中心医院康复科门诊就诊的1例ISDNA患儿(先证者,患儿1)及其胞兄(患儿2)为研究对象。回顾性分析其临床资料,采用全基因组测序(WGS)检测其遗传学变异,并通过Sanger测序进行验证和家系共分离分析。以"免疫骨骼发育不良伴神经发育异常""骨骼发育不良""免疫缺陷和发育迟缓""immune skeletal dysplasia with neurodevelopmental abnormalities""ISDNA""EXTL3"为中、英文关键词,分别对中国知网、万方数据库、维普数据库、PubMed及Sci-Hub等数据库中,关于ISDNA患儿的研究文献,综合分析ISDNA患儿的临床特征及遗传学特点,检索时间设定为各数据库建库至2024年11月30日。本研究通过成都市妇女儿童中心医院医学伦理委员会批准[审批文号:科研伦审2021(41)号],并取得患儿监护人知情同意。

结果

①先证者伴多发骨骼异常、肌张力低下及通贯掌,患儿2以癫痫、发育迟缓及免疫异常为主要表现,均合并不同程度的生长发育迟缓、神经发育异常及免疫功能异常。②WGS结果显示,先证者及患儿2的EXTL3基因(NM_001440.4)第3外显子和第7外显子各检测到1个杂合变异,分别为c.1849 A>G和c.2572 C>T。其中,c.1849A>G为错义变异,c.2572C>T为无义突变,分别来源于其母亲和父亲,符合复合杂合突变遗传模式;上述变异均为未报道的新变异,依据美国医学遗传学和基因组学学会(ACMG)指南评级为临床意义不明确(VUS)。③文献复习共检索到关于ISDNA患者研究相关文献为9篇,纳入20例ISDNA患者,加上本研究先证者及患儿2,共22例ISDNA患者被纳入ISDNA患者临床特征及遗传学特点综合分析。ISDNA患者最常见的临床表现为免疫系统功能异常(77.3%)、特殊面容(72.7%)及脊柱/骨盆发育异常和发育迟缓(68.2%);共发现EXTL3基因11种不同变异位点,纯合突变占81.8%(18/22),复合杂合突变占18.2%(4/22)。

结论

ISDNA是罕见的常染色体隐性遗传性疾病,ISDNA患儿临床表现多样,并且存在异质性,易被临床漏诊及误诊,患者预后较差,可因严重免疫缺陷致死,或有严重残疾。本研究先证者EXTL3基因(NM_001440.4)第3外显子c.1849A>G错义变异+第7外显子c.2572C>T无义变异,患儿2携带的EXTL3基因(NM_001440.4)第7外显子c.2572C>T无义变异,均为未报道的新变异,本研究丰富了ISDNA患者的EXTL3基因变异谱。分子遗传学诊断是目前ISDNA患儿的唯一确诊方法。

Objective

To investigate the clinical and genetic characteristics of children with immunoskeletal dysplasia with neurodevelopmental abnormalities (ISDNA).

Methods

Two siblings with ISDNA who were evaluated at the Department of Rehabilitation Medicine, Chengdu Women′s and Children′s Central Hospital on May 3, 2017, including the proband (Patient 1) and his brother (Patient 2), were enrolled. Their clinical data were retrospectively reviewed. Whole-genome sequencing (WGS) was performed to identify genetic variants, which were subsequently validated by Sanger sequencing and segregation analysis. A literature search was conducted using the keywords " immunoskeletal dysplasia with neurodevelopmental abnormalities" " ISDNA" " skeletal dysplasia" " immunodeficiency and developmental delay" and " EXTL3" in both Chinese and English in the CNKI, Wanfang, VIP, PubMed, and Sci-Hub databases from inception of each database to November 30, 2024, to summarize the clinical and genetic features of ISDNA. The study was approved by the Ethics Committee of Chengdu Women′s and Children′s Central Hospital [Approval No. 2021(41)], and informed consent was obtained from the guardians.

Results

① Both patients presented with varying degrees of growth retardation, neurodevelopmental abnormalities, and immune dysfunction. The proband (Patient 1) additionally exhibited multiple skeletal anomalies, hypotonia, and a single transverse palmar crease, whereas his brother (Patient 2) mainly manifested with epilepsy, developmental delay, and immune abnormalities. ② WGS revealed two heterozygous variants in the EXTL3 gene (NM_001440.4) of the proband and Patient 2: a missense variant c. 1849A>G in exon 3 and a nonsense variant c. 2572C>T in exon 7, inherited from the mother and father, respectively, consistent with a compound heterozygous pattern. Both variants were novel and were classified as variants of uncertain significance (VUS) according to the ACMG guidelines. ③The literature review identified 9 publications involving 20 patients with ISDNA; together with the present 2 cases, a total of 22 patients were analyzed. The most common clinical features were immune abnormalities (77.3%), characteristic facial features (72.7%), and spinal/pelvic abnormalities and developmental delay (68.2%). Eleven distinct EXTL3 variants were identified, of which homozygous variants accounted for 81.8% (18/22) and compound heterozygous variants for 18.2% (4/22).

Conclusions

ISDNA is a rare autosomal recessive disorder characterized by heterogeneous clinical manifestations and a poor prognosis. Patients may die from severe immunodeficiency or suffer from significant disability. Molecular genetic testing currently represents the only definitive method for confirming the diagnosis.

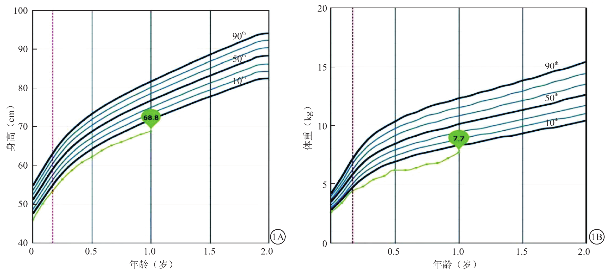
图1 本研究先证者(男性,8岁)0~1岁时生长曲线图(图1A:身高曲线图;图1B:体重曲线图)注:先证者为免疫骨骼发育不良伴神经发育异常患儿
图2 先证者(男性,8岁)及患儿2(男性,11岁)与其父母EXTL3基因Sanger测序图[图2A、2B:先证者及其母亲EXTL3基因第3外显子c.1849A>G杂合突变(红色方框所示);图2C:先证者父亲该位点未见突变(红色方框所示);图2D:患儿2该位点亦可见该突变(红色方框所示)]注:先证者及患儿2均为免疫骨骼发育不良伴神经发育异常患儿
图3 先证者(男性,8岁)及患儿2(男性,11岁)与其父母EXTL3基因Sanger测序图[图3A、3C、3D:分别为先证者及患儿2与其父亲EXTL3基因第7外显子c.2572C>T杂合突变(红色方框所示);图3B:先证者母亲该位点未见突变(红色方框所示)]注:先证者及患儿2均为免疫骨骼发育不良伴神经发育异常患儿
表1 本研究22例ISDNA患者的临床特征及基因检测结果比较
患儿编号 文献(第1作者,发表年) 性别/年龄 脊柱和骨盆异常 四肢骨短 发育迟缓 肌张力异常 癫痫 免疫系统异常 特殊面容 肝囊肿 皮疹 基因检测结果
1 本研究 男/8岁 +↓ ±b c.1849 A>G,c.2572 C>T
2 本研究 男/11岁 +↓ c.1849 A>G,c.2572 C>T
3 Akçahan[1],2021 男/15岁 +↓ ±c /a c.953 C>T
4 Volpi[2],2017 男/11个月龄 c.1015C>T
5 Volpi[2],2017 女/7个月龄 c.1015C>T
6 Volpi[2],2017 女/2岁 +↓ c.1382 C>T
7 Bajaj[3],2022 女/15个月龄 +↓ c.953 C>T
8 Oud[4],2017 女/7周龄 /a /a c.1537C>T
9 Oud[4],2017 女/未报道 /a c.2008 T>G
10 Oud[4],2017 男/未报道 /a c.2008 T>G
11 Oud[4],2017 女/未报道 /a c.1382 C>T
12 Oud[4],2017 男/30岁 /a c.1382 C>T
13 Oud[4],2017 女/未报道 /a c.1382 C>T
14 Oud[4],2017 女/未报道 /a c.1382 C>T
15 Oud[4],2017 男/6个月龄 /a /a c.1970 A>G
16 Oud[4],2017 男/10个月龄 /a /a c.1970 A>G
17 Guo[5],2017 女/2岁 +↓ c.953 C>T
18 Guo[5],2017 女/未报道 /a ±d c.953 C>T
19 Demir[6],2023 女/未报道 /a /a /a +↓ c.1537 C>T
20 Tian[7], 2023 女/17个月龄 /a /a +↑ c.2015 G>A
21 林晴晴[8],2024 男/4个月龄 /a /a +↓ c.1970A>G,c.1262G>A
22 Mehta[9],2024 男/1岁 /a c.1537C>G,c.2305G>C
[1]
Akalın A, Taskiran EZ, Şimşek-Kiper P, et al. Spondyloepimetaphyseal dysplasia EXTL3-deficient type: long-term follow-up and review of the literature [J]. Am J Med Genet A, 2021, 185(10): 3104-3110. DOI: 10.1002/ajmg.a.62378.
[2]
Volpi S, Yamazaki Y, Brauer PM, et al. EXTL3 mutations cause skeletal dysplasia, immune deficiency, and developmental delay [J]. J Exp Med, 2017, 214(3): 623-637. DOI: 10.1084/jem.20161525.
[3]
Bajaj S, Satoskar P, Nair A, et al. An ultra-rare case of immunoskeletal dysplasia with neurodevelopmental abnormalities in an Indian patient with homozygous c.953C>T variant in EXTL3 gene: a case report [J]. BMC Pediatr, 2022, 22(1): 78. DOI: 10.1186/s12887-022-03143-2.
[4]
Oud MM, Tuijnenburg P, Hempel M, et al. Mutations in EXTL3 cause neuro-immuno-skeletal dysplasia syndrome [J]. Am J Hum Genet, 2017, 100(2): 281-296. DOI: 10.1016/j.ajhg.2017.01.013.
[5]
Guo L, Elcioglu NH, Mizumoto S, et al. Identification of biallelic EXTL3 mutations in a novel type of spondylo-epi-metaphyseal dysplasia [J]. J Hum Genet, 2017, 62(8): 797-801. DOI: 10.1038/jhg.2017.38.
[6]
Demir E, Adım F, Döǧen ME, et al. EXTL3-associated immunoskeletal dysplasia with neurodevelopmental abnormalities: a lethal phenotype [J]. Pediatr Allergy Immunol Pulmonol, 2023, 36(4): 147-149. DOI: 10.1089/ped.2023.0079.
[7]
Tian X, Zhang X, Zhang Q, et al. Immune skeletal dysplasia with neurodevelopmental abnormalities caused by a novel variant of EXTL3 gene in a Chinese family [J]. Mol Genet Genomic Med, 2024, 12(1): e2308. DOI: 10.1002/mgg3.2308.
[8]
林晴晴,吴小颖,谭卉晗,等. 免疫骨骼发育不良伴有神经发育异常1例 [J].中华儿科杂志202462(1):76-77. DOI:10.3760/cma.j.cn112140-20230915-00192.
[9]
Mehta SS, Bosticardo M, Notarangelo LD, et al. Novel EXTL3 variants causing neuro-immuno-skeletal dysplasia [J]. J Clin Immunol, 2024, 44(8): 188. DOI: 10.1007/s10875-024-01784-9.
[10]
Busse-Wicher M, Wicher KB, Kusche-Gullberg M. The exostosin family: proteins with many functions [J]. Matrix Biol, 2014, 35: 25-33. DOI: 10.1016/j.matbio.2013.10.001.
[11]
Norton WH, Ledin J, Grandel H, et al. HSPG synthesis by zebrafish Ext2 and Extl3 is required for Fgf10 signalling during limb development [J]. Development, 2005, 132(22): 4963-4973. DOI: 10.1242/dev.02084.
[12]
Yamada S. Specific functions of exostosin-like 3 (EXTL3) gene products [J]. Cell Mol Biol Lett, 2020, 25:39. DOI: 10.1186/s11658-020-00231-y.
[13]
Lai Y, Li D, Li C, et al. The antimicrobial protein REG3A regulates keratinocyte proliferation and differentiation after skin injury [J]. Immunity, 2012, 37(1): 74-84. DOI: 10.1016/j.immuni.2012.04.010.
[14]
Acquatella-Tran Van Ba I, Marchal S, François F, et al. Regenerating islet-derived 1α (Reg-1α) protein is new neuronal secreted factor that stimulates neurite outgrowth via exostosin Tumor-like 3 (EXTL3) receptor [J]. J Biol Chem, 2012, 287(7): 4726-4739. DOI: 10.1074/jbc.M111.260349.
[15]
Wrenshall LE, Platt JL, Stevens ET, et al. Propagation and control of T cell responses by heparan sulfate-bound IL-2 [J]. J Immunol, 2003170(11): 5470-5474. DOI: 10.4049/jimmunol.170.11.5470.
[16]
Milne CD, Corfe SA, Paige CJ. Heparan sulfate and heparin enhance ERK phosphorylation and mediate preBCR-dependent events during B lymphopoiesis [J]. J Immunol, 2008, 180(5): 2839-2847. DOI: 10.4049/jimmunol.180.5.2839.
[17]
Shimokawa K, Kimura-Yoshida C, Nagai N, et al. Cell surface heparan sulfate chains regulate local reception of FGF signaling in the mouse embryo [J]. Dev Cell, 2011, 21(2): 257-272. DOI: 10.1016/j.devcel.2011.06.027.
[18]
Fuerer C, Habib SJ, Nusse R. A study on the interactions between heparan sulfate proteoglycans and Wnt proteins [J]. Dev Dyn, 2010, 239(1): 184-190. DOI: 10.1002/dvdy.22067.
[19]
Holmborn K, Habicher J, Kasza Z, et al. On the roles and regulation of chondroitin sulfate and heparan sulfate in zebrafish pharyngeal cartilage morphogenesis [J]. J Biol Chem, 2012, 287(40): 33905-33916. DOI: 10.1074/jbc.M112.401646.
[1] 吴群, 李培, 马宁, 王芳韵, 郑淋, 卫海燕, 张鑫. 儿童先天性冠状动脉瘘合并巨大冠状动脉瘤的超声心动图诊断[J/OL]. 中华医学超声杂志(电子版), 2025, 22(11): 1080-1085.
[2] 刘晴晴, 俞劲, 徐玮泽, 张志伟, 潘晓华, 舒强, 叶菁菁. OBICnet图像分类模型在小儿先天性心脏病超声筛查中的应用价值[J/OL]. 中华医学超声杂志(电子版), 2025, 22(08): 754-760.
[3] 罗旭芳, 王艳子, 滕红娜, 赵德莉, 袁丽, 靳思雨, 官浩. 基于时机理论对重度烧伤患儿照护者照护体验的质性研究[J/OL]. 中华损伤与修复杂志(电子版), 2026, 21(01): 40-46.
[4] 朱少伟. 未合并隐睾的小儿半月线疝一例并文献复习[J/OL]. 中华疝和腹壁外科杂志(电子版), 2025, 19(06): 722-724.
[5] 魏晓琼, 刘青, 于丽娟, 谭志红, 和岚, 常艳美, 和勇. 过敏性哮喘患儿C-ACT、骨膜蛋白和TSLP及ECP与病情严重程度的相关性[J/OL]. 中华肺部疾病杂志(电子版), 2025, 18(06): 996-1001.
[6] 郑庆藩, 徐嘉鸿, 胡新娅, 苏浩东, 林弘恺, 郑凯滨, 郭晓玲, 马泽珠. 免疫球蛋白在69例反复上呼吸道感染患儿中的表达及意义[J/OL]. 中华肺部疾病杂志(电子版), 2025, 18(06): 1015-1018.
[7] 董艳, 郭继武, 毛杰. 儿童重症急性胰腺炎一例诊治分析并文献复习[J/OL]. 中华肝脏外科手术学电子杂志, 2025, 14(06): 956-961.
[8] 何承志, 张小燕, 郜恒骏. 幽门螺杆菌对六种抗生素的耐药基因测序结果分析[J/OL]. 中华消化病与影像杂志(电子版), 2025, 15(06): 604-609.
[9] 孙太鹏, 袁勇贵. 儿童青少年精神卫生服务的现状与展望[J/OL]. 中华临床医师杂志(电子版), 2025, 19(11): 805-808.
[10] 柯晓燕. ICD-11 CDDR框架下的实践参考:神经发育障碍[J/OL]. 中华临床医师杂志(电子版), 2025, 19(11): 809-813.
[11] 洪素, 况利. ICD-11 CDDR框架下的实践参考:儿童青少年心境障碍[J/OL]. 中华临床医师杂志(电子版), 2025, 19(11): 814-817.
[12] 陈妍, 陈珏. ICD-11 CDDR框架下的实践参考:儿童青少年心身疾病[J/OL]. 中华临床医师杂志(电子版), 2025, 19(11): 818-822.
[13] 杜琳, 贾飞勇. 儿童青少年抑郁障碍的多因素病因研究进展[J/OL]. 中华临床医师杂志(电子版), 2025, 19(11): 854-859.
[14] 高鉴兴, 马晶晶, 夏洁, 柯晓燕, 方慧. 儿童青少年首次抑郁发作的临床特征及非自杀性自伤的影响因素[J/OL]. 中华临床医师杂志(电子版), 2025, 19(09): 633-641.
[15] 姜彤彤, 戎萍, 马融, 付乾芳, 张亚同, 赵书艺, 刘晖, 马榕, 李悦, 李瑞本. 抽动障碍儿童呼吸道感染后的临床特征及抽动症状加重的危险因素分析[J/OL]. 中华临床医师杂志(电子版), 2025, 19(06): 426-432.
阅读次数
全文


摘要


AI


AI小编
你好!我是《中华医学电子期刊资源库》AI小编,有什么可以帮您的吗?